2015-02-26 08:53 自考365
单选题
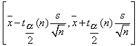
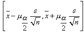
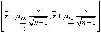
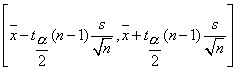
1.设总体X服从正态分布N(μ,σ2),其中μ,σ2未知,则总体均值μ的置信度1-α的置信区间为( )
A.
B.
C.
D.
正确答案:B
答案解析:我们可以参看教材P162的表,此题属于σ2未知,所估参数为μ的类型,也就是表格中的第三行。套用置信区间对应的公式,就可以得到B答案了。
查看专家点评、以往试题可进入“每日一练——免费在线测试系统”>>
14888人已购买
23888人已购买
16523人学过
29956人学过
27896人学过
18866人学过
整专业保障班
自考365
2022-01-16
无忧实验班 扫除单科拦路虎
超值精品班 随报随学
APP
电脑版
备考经验/试题,进群交流/领取。
微信内打开网页后识别二维码或保存二维码使用微信扫一扫添加老师微信
选课中心
试题下载
自考备考刷题
报名预约
App下载