2012-08-07 13:58 自考365
第二十五章 马歇尔的经济学说
一、马歇尔经济理论产生的时代背景
马歇尔经济理论产生的时代,正是19世纪末20世纪初,资本主义向帝国主义过渡时期。这时期世界各国工人运动不断发展、马克思主义广泛传播、无产阶级政党纷纷成立。面对资本主义发展的新阶段和日益高涨的革命运动,资产阶级政权也越来越感到革命运动的威胁。19世纪70年代以后,英国开始经历经济上的萧条和困难境地,它在国际上的经济地位也发生了变化。后起的美国、德国迅速赶了上来,到80年代已成为英国的有力竞争对手。为了维持自己的经济强国的地位,英国垄断资本加紧对工人的剥削,从而使工人加剧了贫困化程度。突出的失业问题也同时加剧了阶级矛盾。这样,英国的工人运动开始高涨。在这种形势下,旧的穆勒的经济学体系已不能很好地适应形式发展的需要,再加上其他学派对它的攻击,穆勒的经济理论体系很快就面临崩溃的地步。马歇尔的经济理论和学说,就是在这种形势下应运而生的。
马歇尔的生平、著作(来源 于自 考365网 zika o 365.com)
马歇尔是19世纪末20世纪初英国更著名的经济学家,是新古典经济学的奠基者,英国剑桥学派的创始人。
马歇尔的经济学说是对19世纪中叶以来西方经济学发展的一个总结,是自约翰·穆勒以后的第二次大综合。其主要代表作是1890年发表的《经济学原理》。
马歇尔生于英国伦敦一个中产阶级家庭。其父为英格兰银行的出纳员。他自幼喜好数学。
马歇尔的代表作是《经济学原理》(1890年)。该书曾被资产阶级经济学界认为是划时代的著作,成为近代英美等国经济学的基础。马歇尔其他主要著作有:《工业与贸易》(1919年)、《货币、信用与商业》(1923年)。
二、马歇尔经济理论体系更重要的特点
马歇尔在英国传统经济学的基础上,吸收和综合了新旧各派经济理论(其中包括约翰·穆勒的传统理论和新历史学派、奥地利学派、数理经济学派等的观点),如果说,约翰·斯图亚特·穆勒的经济学体系是经济思想史上各种学派理论的一次大综合,那么,阿弗雷德·马歇尔的经济学体系则是理论上的另一次更大的综合。
马歇尔自称继承和发展了英国古典政治经济学的传统,别人也称他为“新古典派”的创始人。其实,马歇尔只是继承和发展了约翰·穆勒的经济学传统,对李嘉图的古典政治经济学的科学遗产却并未完全真正继承。在马歇尔的理论体系中,融合了历史学派、奥地利学派、数理学派的方法论和观点,他把供求论、生产费用论、资本生产力论和节欲论等旧理论,同边际效用论、社会达尔文主义等新理论结合起来,综合为一个集各种经济学之大成的新体系。
1.以心理分析为基础马歇尔认为,经济学说是要研究人类行为的动机。因为人类的动机会“更有力、更坚决地影响人类行为”,支配经济活动。人类的动机分为两类:
(1)追求满足。这可以激发人们经济活动的动力;
(2)避免牺牲。这可以成为制约经济活动的阴力。这两类动机的“均衡”就是绝大多数经济范畴和经济规律的基础。
其实,马歇尔这两类心理动机就是边沁的“苦乐主义”心理学范畴的东西。他甚至企图以货币对动机所带来的结果(即“动力”功“阻力”)来间接衡量动机,并认为这会使经济学成为精确的科学。但他却不能说明,人类的动机为什么能用货币衡量?
2.赞成渐近的社会改良主义马歇尔认为,资本主义私有制是合乎人类本性的永恒的社会制度。自由竞争是更好的更有效的经济制度,一切矛盾和冲突在这种制度内更终都会得到解决,但这种过程却是长期的渐进的过程。
他认为,生物的发展是渐进的演化过程,而没有飞跃过程;人类社会也是一样,也不能有飞跃。他认为,就人类的心理来说,也是一种渐进的演化发展过程,决不是突变和飞跃的变化过程,因此,经济也决不能飞跃。他认为,渐进是社会发展的正常状态,因而应当成为经济学研究的基础。
3.强调所谓“连续原理”。
他从古尔诺在经济学中运用连续函数受到启发,认为各种经济现象间没有明显和严格的区分,只有连续的数量关系。这与前面的特点有一定联系。他没有直接解释什么是“连续原理”,但他却主张“注重对连续原理的各种运用。”比如,他认为工人与资本家只有追求金钱数量大小的程度差别,而没有质的区别。他们都企图寻找更好的市场或职业,都在参与竞争。价值和市场价格也只是长、短期的区分而已,但时间上的长、短期却是连续的。
所以,马歇尔的“连续原理”不过是强调经济现象间的数量关系和某些方面的相似的联系。
4.强调“边际增量”分析方法
这是受屠能和数理学派经济学中边际分析的启发而产生的。
他举例说,在需求不变时,任何一个生产要素使用量的增加,如超过一定的“边际”,就会使报酬递减。而供求平衡时,边际产量的增加又会为生产费用的相应增加所抵消。马歇尔完全接受了边际学派的边际分析和数理学派的边际增量分析方法及概念,并进一步把它运用到资源配置、要素替代,收入分配等各个方面去。
5.强调“均衡”分析,主要是运用局部均衡分析方法。
马歇尔认为,各种经济指标的数量都是通过各自有关要素的边际增量达到均衡来决定的。
马歇尔认为,均衡就是两种相反力量之间的均势。
马歇尔强调的均衡不是一般均衡而是局部均衡。在这种局部均衡之下,只需以单个生产者或者消费者为研究对象,而不考虑各厂商,消费者之间的相互联系和影响。这种方法就是当代微观分析方法的基础。
凯恩斯对于马歇尔的均衡分析的体系给予了很高的评价。他说马歇尔发现了“一个完整的哥白尼体系,通过这一体系,经济宇宙的一切因素,由于相互抗衡和相互作用而维持在它们的适当的位置上。”
6.强调静态分析静态分析的特点是,所分析的经济关系和有关环境保持不变。因而,分析价格时,不必区分当前价格与预期价格,因为二者是一致的。商品供给可以充分依照它而调整。马歇尔认为静态下,生产和消费、分配、交换的一般条件都是不变的。他想以此说明经济的稳定性。
马歇尔及其追随者认为,他的经济学说是对古典经济学的继承和更新。一方面,他吸收了李嘉图和约翰·穆勒的学说,另一方面,他又引入边际效用分析,强调需求的重要性。
马歇尔的经济学说中也大量运用数学分析,这显然是受到他数学爱好的影响。
马歇尔对现代西方经济学的重要贡献之一是提出了不完全竞争问题,并作了初步论述。
熊彼特认为,马歇尔是“不完全竞争理论的创始人。”
马歇尔对供求理论,尤其是需求理论的贡献,关于需求规律,需求弹性的论述,也是他对后来经济学所做的贡献。
三、马歇尔理论体系的中心内容
均衡价格论
马歇尔说:“一个东西的价值,也就是它的交换价值……就是在那时那地能够得到的、并能与第一样东西交换的第二样东西的数量。因此,价值这个名词是相对的,表示在某一地点和时间两样东西之间的关系。”
四、马歇尔的价格论的特点
1.价格的类型:暂时的均衡价格;长期市场均衡价格;短期均衡价格。
2.均衡价格的决定:供求在这三种价格决定中,各自所起的作用是不同的。暂时均衡的市场价格主要取决于需求;短期均衡价格中,供求可在原设备条件下增加,但供求会对等发生作用;长期正常均衡价格中,供给起主要作用。
边际效用决定需求及其变动,生产费用决定供给及其变动,二者通过供求共同决定价格。
3.需求的决定和变动趋势马歇尔认为,人们需要商品就是为了通过消费取得效用,满足自己的欲望。马歇尔是基数效用论者,认为效用可以具体衡量与加总,总效用等于每个商品的效用之和。用公式表示即:![]()
马歇尔没有考虑商品的替代与互补关系。
马歇尔把刚刚被吸收购买的那部分商品,称之为边际购买量,其效用则称为对购买者的边际效用。
马歇尔认为,需求量的大小取决于边际效用量的大小,“边际效用递减规律”决定着人的需求变动规律。
马歇尔知道边际效用这种购买者主观愿望和估计的表现,是无法直接衡量的,因此,他求助于满足欲望所支付的货币量来间接衡量。这就必须假定货币的边际效用不变,即不考虑货币购买力的变化。于是,他就以需求价格代替了需求,把“边际效用递减规律”变成了“边际需求价格递减规律”。这样,马歇尔就认为需求的一般规律是:“需要的数量随着价格的下跌而增大,并随着价格的上涨而减少。”
根据这个规律,马歇尔列出了需求表来说明买者在不同价格下所愿意购买的数量。然后,又在该表的基础上,画出一条需求曲线来把需求规律图示化。如图(25-1)

以上所说的是一个消费者(购买者)对一种商品的需求,所以是个人需求曲线,表示个人需求规律。如果在每一可能的价格下,把所有购买者对某一商品的需求量加总,就得到市场需求量;将不同价格下的需求量排列成表,即为市场需求表,据之画出曲线,即市场需求曲线。
市场需求定义:在其它条件不变的情况下,在一定时期内,某种商品在各种可能的水平下,全体购买者所愿意购买的数量。
市场需求曲线定义:在一定的时间内市场中对某一商品的需求曲线,就是对这一商品的需求点的轨迹。
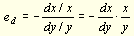
所谓需求弹性就是指需求对价格变动的反应。需求弹性是用来衡量价格变动的一定比率,所引起的需求量相应变动的相应比率的。如价格变动幅度小于需求变动的幅度,就是需求弹性大;反之,就是需求弹性小。
可以用需求弹性系数表示:
公式表示为:![]()
或者表示为:![]()
以这个为基础把需求弹性分三种情况:
当商品价格下跌(上升)1%时,需求量上升(下跌)大于1%,叫需求弹性大;当价格下跌(上升)1%,需求量增加(减少)小于1%时,叫需求弹性小(不足);当价格下跌(上升)1%时,其需求量也上升(下跌)1%时,叫需求弹性为1.
消费者剩余的概念:
消费者剩余即消费者对某种商品愿意支付的价格与实际支付价格的差额。如前者大于后者,就有消费者剩余存在,就能使消费者得到额外的福利或满足。马歇尔认为:只有在自由竞争的市场上才能得到消费者剩余。
消费者剩余的大小也可以需求曲线度量,如图25-3所示。

面积DOHA为消费者愿付的OH量商品的总价格,OC为其实际单位,面积OCAH为实际总价款。于是,面积DCA即代表消费者剩余。
马歇尔这一概念和思想,演变成为当代福利经济学的一个重要思想内容,所以,西方一些经济学史的著作家,很强调马歇尔对福利经济学的贡献。
4.供给的决定和变动趋势(1)供给规律:供给价格高则供给多,供给价格低即供给少。
生产成本包括:各种形式的劳动;各种形式的资本。
劳动是劳动者在劳动过程中的心理感受——“反效用”(因为劳动会带来痛苦);而资本则是心理范畴的“等待”,它意味着资本家延续享受和作出的牺牲。所谓实际生产成本无非就是劳动的“反效用”与资本的“等待”之和。
马歇尔同样把货币作为衡量成本的标准工具。他以货币生产成本代替了实际生产成本。货币生产成本即“对这些劳作和牺牲所必须付出的货币额。”他说该货币额就是商品的生产费用,也就是为生产某种商品所需要的生产费用,或者说为生产某种商品所需要的各种要素的供给价格。于是,马歇尔的供给论就归结为生产费用论。
画出了供给曲线:如图25-4

马歇尔分析生产成本时,把总成本分为主要成本和补充成本。主要成本即现代经济学中的可变动成本,它随产量变动而变动。它包括原材料、工资以及机器设备上额外耗损的资本。补充成本即现代经济学中的固定成本,它不随产量的变动而变动。它包括折旧,高级职员的薪水等。
马歇尔认为,当增加可变成本要素投入而与固定成本要素相结合时,就会引起报酬递减。当产出增长大于投入增长时,就会出现报酬递增。他认为,在不同报酬条件下,平均成本与边际成本的变动趋势也是不同的。
(2)企业的内部经济:是指由于单个企业增加了产量或扩大了规模而取得的利益。
它源于以下几种情形:
①企业规模扩大或产量增加时,其补充成本便分摊到更多的产品上。
②规模较大的企业便于从事发明与创新,采用新的技术;
③大企业可降低销售费用;
④大企业易于取得优惠贷款;
⑤大企业内部分工更精细,可提高劳动生产效率;
⑥大企业可从事多种经营,充分利用副产品。
(3)企业的外部经济:是指一个企业由于其他企业的发展而取得的利益。这主要是指地理位置优越,交通运输便利以及经营信息的灵通等。
在讨论企业的内部经济与外部经济时,他还提出了“代表性企业”的概念。这是指具有正常经营管理水平,其产量和获利能力在整个部门中处于中等地位和平均水平的企业。这有利于考察企业的经济程度。
(4)供给的价格弹性:是用来衡量商品价格变动一定幅度引起的供给量相应变动幅度大小的。是供给量对价格变动的反应。
供给弹性系数的公式为:![]()
其中,Es为—供给弹性(或供给弹性系数);P为价格;Q为供给量;dP为价格变动量;dQ为供给变动量。
5.均衡价格:就是供给价格同需求价格相一致时的价格。边际效用决定需求价格,生产成本决定供给价格。如图25-5

马歇尔在说明均衡价格时引入了时期分析。
他认为,时期长短对均衡价格形成过程有不同的影响。一般而言,时间越短,就越要注意需求对价格的影响;时间越长,生产成本对价格的影响就更为重要。因为,时期很短,供给就限于存货;时期效长,供给就会受该商品生产成本的影响,如果时期很长,这种成本又会受生产该商品所需的劳动和物质资料的生产成本的影响。
6.理解:在报酬不变、报酬递减和报酬递增条件下,正常需求和正常供给的增减对价格所产生的影响。具体见P394页。
1.正常需求的增加。它是指任何价格下都能找到买主的那种需求数量的增加。造成正常需求增加的原因很多。正常需求增加后会产生三种情况:
(1)生产按报酬不变规律。
由于这时商品的正常价格完全由其生产费用决定,所以,需求增加只增加产量,不改变价格。单位生产费用不变。
(2)生产按报酬递减规律。
因为产量增加;边际生产费用会增高,所以,产量这时增加没有报酬不变时那么多。这时,需求增加,将使商品价格上升。
(3)生产按报酬递增规律。
由于报酬递增,产量增加,生产费用反而下降,从而使商品价格降低。这时需求增长将使产量增加。
2.正常需求减少时,则产量都减少,生产受报酬不变条件影响,价格不变,受报酬递减条件影响。价格下跌;受报酬递增条件影响,价格上升。
3.正常供给增加时,上述三种情况下,价格变动也不同。正常供给指按各种价格可以供给的那些商品数量的增加。其原因也是多方面的。马歇尔认为,正常需求不变时,正常供给的增加总会降低正常价格。因为供大于求时,只能减价出售。但在报酬递减率下,价格下跌很少,因为生产因难;在报酬递增条件下,生产增加较便利,产量会有大的增加,从而使价格有大的下降。在报酬不变规律下,价格下跌程度,会在上述二者之间。
对于马歇尔价格论的简单评论马歇尔均衡价格论的分析,同时分析了供给和需求双方变动对于价格的影响和作用,并且对于不同时期长度对价格的影响,以及商品生产处于报酬递减、报酬递增和报酬不变的场合对价格的影响,分别加以论述,确有独到之处。其价格理论显然超过了约翰·穆勒、杰文斯和奥地利学派而更接近于资本主义市场经济的实际情况。正因为如此,他的价格理论才成为当代微观经济理论的主要基础。但他混淆价格与价值是错误的。
供求论是马歇尔价格论的基础。但供求论恰恰不能说明均衡条件下价值是如何决定的,因此马歇尔的价格论也就不能真正从本质上说明价值和价格的问题。
五、马歇尔分配论的实质
所谓收入分配就是把国民收入在各种生产要素之间进行分割。生产要素分为劳动、土地、资本和企业经营能力;四种要素共同创造了国民收入。分配只是份额大小的确定问题。
马歇尔认为,确定分配的份额,也就是确定要素的价格。因而分配问题更终就被归结为生产要素的价格确定问题。劳动的价格是工资,土地的价格是地租,资本的价格是利息,企业经营能力的价格是利润,也叫企业经营收入。
六、马歇尔各生产要素价格的决定
马歇尔还认为,边际生产力是各要素需求价格的统一决定因素。这里的边际生产力量指各要素的边际增量所提供的纯产品量。而需求价格,除去对企业经营能力的需求是指社会对企业家的间接需求之外,就是指企业家购买劳动、借入资本和租用土地时愿意支付的价格,这都表现为企业家对劳动、资本和土地的直接需求。
1.工资:劳动要素的均衡价格。劳动的需求价格是资本家购买劳动时愿付的价格。劳动的供给价格是工人所接受的价格。劳动的需求价格决定于边际工人的净产量,即资本家在不增加生产资本数量的条件下所增加的更后一个工人所提供的净产量。劳动的供给价格是由劳动的成本决定。
2.利息:资本要素的均衡价格。(来源 于自考365网 zikao365.com)
(1)资本的需求价格;是资本家使用资本所愿支付的代价,是由资本的边际生产力决定的,即由边际资本提供的净产量决定。
(2)资本的供给价格;决定于资本家的“等待”和“牺牲”,也就是借贷资本家同意放款的价格。利息就是对这种“等待”和“牺牲”的报酬。利息的分类:纯利息和毛利息,其中毛利息包括了纯利息(3)利润是“企业经营能力”的均衡价格。“企业经营”的需求价格是全社会对企业家组织、经营、管理企业必须付出的价格和代价。这种价格取决于“企业经营能力”的边际生产力,即企业家在更合理使用、安排其他各要素的条件下,所能获得的收益。也就是:总收入-工资-利息-地租=正常利润。
“运用资本的经营才能”的供给价格取决于三个因素。
第一,是资本的供给价格。
第二,是经营才能和精力的供给价格。
第三,是指适当的经营才能与必需的资本结合在一起的那种组织(即企业等)的供给价格。
3.地租是使用土地的代价。土地没有供给价格,地租只受土地需求的影响。土地的需求价格,取决于土地的边际生产力,即取决于土地边际耕作的净产品。
马歇尔认为,在“土地报酬递减律”作用之下,必定会出现这样一个边际:在该边际上的投资所得到的收入(净产品),除去补偿生产开支外,只能提供正常利润(即资本的利息),除此之外,再没有剩余。
马歇尔地租理论的评价:
(1)没有说明资本主义地租的本质根源。
(2)其地租论的条件是错误的。
(3)他没有绝对地租范畴,只有级差地租。
总之,马歇尔的分配论就是各生产要素的均衡价格的决定。
4.特殊情况的价格决定(理解)
七、“准地租”的概念
要素价格超过其均衡价格水平的部分就是“准地租”。这是地租概念的引申。准地租就是把地租之外的分配范畴,从某种条件和某种程度上看作与地租决定原则相一致。
对马歇尔分配理论的简单评价:
马歇尔的分配论也是各种理论的综合,其核心是均衡价格论。马歇尔该理论的目的是要说明资本主义自由市场经济的优越性,从而为资本主义各种矛盾辩解,宣扬现存经济利益的合理性。
他把一国的纯产品作为各生产要素分配的基础,一方面承认了社会的剩余产品,另一方面又认为剩余产品是各要素共同创造的,相互之间在分配上没有剥削。
八、马歇尔经济理论适用的主要经济制度对象
主要对象是自由竞争的资本主义经济制度。
马歇尔把自己的全部抽象理论分析归结为“更大满足”的理论,也就是说,在自由竞争条件下,通过供给和需求的均衡,各个生产要素都能得到适当的利用,也都能取得各自相应的报酬。自由竞争的资本主义制度是更好的经济制度,它可以充分发挥制度内的自动调节机制,使经济稳定繁荣地发展。他认为,在这种自由竞争制度内,主要是中等的竞争性企业起主导作用。
九、马歇尔关于垄断的观点
19世纪末20世纪初英国等主要资本主义国家在经济上出现的日益增多的垄断现象,迫使马歇尔不得不对其原有理论进行某些修改和补充。他说:“垄断组织之间的冲突和联合在现代经济学中起着愈来愈重要的作用。”
在《经济学原理》中,他专设一章论述垄断问题。而且从《经济学原理》第二版起,还在有关市场问题的措词上,不断进行修改,用词也十分谨慎。
1919年,他出版了《工业与贸易》一书,用大量篇幅探讨了垄断组织和英国的经济地位问题。
1.垄断的含义:垄断是指一种商品只有一个供给者的情况。
2.垄断条件下的供给价格:在垄断条件下,垄断者可以自由调整其供给,以取得更大的纯收入。因为这时,垄断者可以始终调节供给,使需求在原价格上大于供给,从而导致价格上升,直至在更高的价格上达到均衡。这时的均衡价格就是垄断价格了。商品生产费用加垄断收入,就是垄断条件下的供给价格了。
3.马歇尔对垄断的理解:除了稀有的优越的自然条件的垄断之外,现实生活中几乎不存在绝对的永久的垄断,有的只是相对和暂时的垄断。
他认为“从表面上看来,仿佛垄断产量总是小于竞争产量,它对消费者的价格总是大于竞争价格,但事实却不然。”因为各种其它因素会抑制这种倾向。他说,消费者购买垄断企业的产品时,实际上不会比在竞争条件下支付更高的价格。垄断者的平均成本比竞争性企业有的成本要低一些。
马歇尔认为,如果垄断者定价太高,就会吸收别的生产者进入其行业,从而使之失去垄断地位和高额垄断收入。他说:“虽然垄断和自由竞争在理论上是完全分开的,但是它们实际上以不易觉察的程度相互渗透着。”
马歇尔还提出,“垄断者往往能保持企业的节约”。“出于对消费者福利的直接关心,可以降低他的价格”;垄断者与消费者之间存在着“调和的利益”等。
4.垄断和自由竞争的关系:垄断和竞争并存是现实生活中存在的状况。垄断与竞争之间没有一条明显的界限,二者只有数量和程度的差别而已。
5.垄断的作用:见P404.
十、马歇尔对垄断的态度。 (来源 于自考 365网 zik ao365.com)
马歇尔对垄断的态度既反映了他所代表的国家利益和阶级利益,也在某种程度上反映了他的准确判断力。
垄断组织在经济生活中的作用是巨大的,因此,从政策上说,英国不应该限制它,而应该向美国、德国学习、以恢复和保持英国在国际上强有力的经济地位。
马歇尔的垄断观点首先是解释和说明英国在经济上的新的适当特征的。一方面,他对于垄断的现实不得不给以承认;另一方面,他又竭力想通过其“连续原理”,把垄断纳入其原先为之辩护的自由竞争的市场经济体系中,保持其体系综合性和全面性的特点。
例题:(99年考试)
试述马歇尔价格论中需求决定和变动趋势理论的要点,并指出上述理论中哪些方面继承和发展了其它经济学家的见解?
此题可以从5个方面来答:
1.马歇尔是从供给和需求两方面来说明其价格论的,2.马歇尔运用边际效用来说明需求决定和变动趋势。认为人们需要商品是为了通过消费取得效用而满足自己的欲望,边际效用递减规律决定了人们的需求变动的规律。
3.马歇尔用边际效用的数量无法直接衡量,因此他用货币及其价格来对边际效用的大小进行衡量。因此他把边际效用递减规律转换成边际需求递减规律。
4.马歇尔所提出的需求的一般规律,即需求的变动趋势是什么。又列出了需求表、需求曲线和需求规律。
5.19世纪70年代边际效用价值论。
马歇尔进行了发展表现在两方面:一是用货币衡量边际效用。二是采用了数量分析方法。
| 1 | 2 | 3 | 4 | 5 | 6 | 7 | 8 | 9 | 10 | 11 | 12 | 13 | 14 | 15 | 16 | 17 | 18 | 19 | 20 |
| 21 | 22 | 23 | 24 | 25 | 26 | 全 |
编辑推荐:
自考365
2022-01-16
自考365
2022-01-16
自考365
2022-01-16