2013-07-02 10:18 自考365
单选题
1.[2012年1月]
从一个正态总体中随机抽取n=20的一个随机样本,样本均值为17. 25,样本标准差为3.3,则总体均值的95%的置信区间为
A.(15. 97,18. 53)
B.(15. 71,18. 79)
C.(15. 14,19. 36)
D.(14. 89,20. 45)
正确答案:B
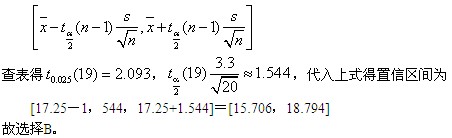
答案解析:本题考查区间估计。已知本题为“单正态总体,方差未知,期望的估计”,应选择t-统计量,置信区间为
查看专家点评、以往试题可进入“每日一练——免费在线测试系统”>>
14888人已购买
23888人已购买
16523人学过
29956人学过
27896人学过
18866人学过
整专业保障班
自考365
2022-01-16
无忧实验班 扫除单科拦路虎
超值精品班 随报随学
APP
电脑版
备考经验/试题,进群交流/领取。
微信内打开网页后识别二维码或保存二维码使用微信扫一扫添加老师微信
选课中心
试题下载
自考备考刷题
报名预约
App下载