2013-04-03 09:13 自考365
单选题
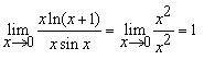
1.[2007.10]当x→0时,xln(x+1)是( )。
A.与xsinx等价的无穷小。
B.与xsinx同阶非等价的无穷小。
C.比xsinx高阶的无穷小。
D.比xsinx低阶的无穷小。
正确答案:A
答案解析:因为当x→0时,ln(x+1)~x,sinx~x,故
查看专家点评、以往试题可进入“每日一练——免费在线测试系统”>>
14888人已购买
23888人已购买
16523人学过
29956人学过
27896人学过
18866人学过
整专业保障班
自考365
2022-01-16
无忧实验班 扫除单科拦路虎
超值精品班 随报随学
APP
电脑版
备考经验/试题,进群交流/领取。
微信内打开网页后识别二维码或保存二维码使用微信扫一扫添加老师微信
选课中心
试题下载
自考备考刷题
报名预约
App下载